RETIFICADOR DE ONDA COMPLETA COM FILTRO
Marcos Portnoi
Objetivos *
Este relatório pretende descrever experimentos realizados com um circuito denominado retificador de onda completa com capacitor de filtro. Consiste em uma fonte de sinal senoidal acoplada a uma ponte de diodos, e em paralelo com um resistor de carga e um capacitor.
O circuito retificador é assim chamado pois utiliza-se de diodos para resultar em uma saída unipolar para a carga. Um sinal senoidal, portanto, contendo ciclos positivos e negativos de tensão, é retificado de forma a fornecer apenas ciclos positivos para a carga. O circuito retificador mais básico está representado na Figura 1.

Figura 1: Retificador de meia-onda
Este circuito permite a passagem dos ciclos positivos de tensão (quando o diodo está em condução), e bloqueia a passagem dos ciclos negativos (quando o diodo está em corte). Isso resulta num formato de onda pulsante, somente com os semiciclos positivos senoidais na carga, conforme a Figura 2. Devido ao formato desta onda, ou seja, devido à perda dos semiciclos negativos do sinal de entrada, o circuito é denominado retificador de meia-onda.

Figura 2: Forma de onda de saída do circuito retificador meia-onda
Usando-se de uma ponte de diodos, pode-se retificar também os semiciclos negativos, resultando num sinal na carga pulsante com o dobro da freqüência do sinal de entrada. Verificar as Figuras 3 e 4.

Figura 3: Retificador de onda completa

Figura 4: Forma de onda na saída do retificador de meia-onda
Usando-se um capacitor em paralelo com a carga, tem-se o efeito de manter a tensão na carga próximo ao valor de pico por mais tempo. Quando a tensão do sinal cai, o capacitor começa a se descarregar, de modo que a tensão nos terminais da carga é superior à tensão vinda da fonte. O diodo retificador entra em corte, até que a tensão vinda da fonte supere novamente a tensão no capacitor. Quanto maior a constante RC, maior o tempo de queda da tensão do capacitor, e por conseguinte a tensão na carga é mantida bem próxima do valor de pico da tensão vinda da fonte. A Figura 5 mostra o novo formato de onda da tensão na carga vo, com capacitor de filtro, para um retificador de meia-onda. A diferença entre o valor de pico da senóide e o menor valor de tensão do capacitor é denominado ripple.

Figura 5: Meia-onda retificada com capacitor de filtro. vo é a tensão na carga, Vr é a tensão de ripple.
No retificador de onda completa a ponte, a rigor, a tensão de pico na carga será a tensão de pico da fonte subtraída de duas quedas de tensão provocadas pelos diodos retificadores que atuam em cada ciclo. Considerando VD0 como a queda de tensão de cada diodo, Vo como a tensão de pico na carga e Vp como o valor de pico na fonte, tem-se:
![]()
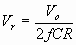
A tensão de ripple, para o retificador de onda completa, é dada por:
![]()
onde Vr é a tensão de ripple, Vo é a tensão de pico na carga e f é a freqüência da fonte. Esta equação é resultado da combinação da equação exponencial de tensão do capacitor com a equação acima, e aproximando a exponencial e-t/RC por Taylor. Observar que a freqüência no denominador está multiplicada por dois, o que denota a freqüência dobrada existente na carga, em relação à fonte de sinal.
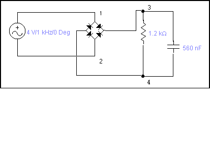
O circuito retificador montado pode ser visualizado na Figura 6.

Figura 6: Retificador onda completa com filtro para o experimento
Tomou-se as medidas do resistor e do capacitor usando o multiteste, como também a tensão VD0 dos diodos. Os valores estão na Tabela 1.
|
Componente |
Valor Nominal |
Valor Medido |
|
Resistor |
1200 Ohm |
1170 Ohm |
|
Capacitor |
560 nF |
579 nF |
|
Diodo 1N4002 |
--- |
VD0 = 0,56 V |
Tabela 1: Valores medidos dos componentes
O sinal do gerador foi regulado para 4V de pico (8 V pico a pico) e para uma frequência de 1 kHz.
Conectou-se o canal A do osciloscópio entre os terminais 1 e 2, e o canal B entre os terminais 3 e 4, indicados na Figura 6. Este arranjo, entretanto, gerou formas de onda esdrúxulas e sem sentido na tela do osciloscópio, o que obrigou o uso de apenas um canal do osciloscópio por vez.
Com o osciloscópio nos pontos 1 e 2, procedeu-se à regulagem da fonte de sinal conforme os parâmetros acima. Com o osciloscópio entre os pontos 3 e 4, procedeu-se às medidas da tensão de pico na carga, da visualização da forma de onda nesta e também da tensão de ripple. A tensão de pico na carga medida foi de:
![]()
O valor de tensão do ponto mais baixo da curva de tensão na carga foi de 2 V.
Com o multiteste, realizou-se diversas medidas, conforme a Tabela 2.
|
Item Medido com Multiteste |
Valor |
|
VDC carga |
7,20 V |
|
VAC carga |
2,60 V |
|
VAC fonte |
7,37 V |
Tabela 2: Medições com multiteste
Usando a equação teórica, a tensão de pico na carga deveria ser:
![]()
A medição pelo osciloscópio indicou 3,4V. Isso indica que a queda de tensão provocada pelos diodos é bem menor do que o esperado.
A tensão de ripple é calculada a seguir:
![]()
A tensão de ripple medida na tela do osciloscópio, entretanto, é de 1,4V (a tensão de pico menos a tensão do ponto mais baixo da curva).
Estes resultados em princípio díspares podem indicar que os diodos estão operando em um ponto de sua curva i x v de não-linearidade mais acentuada. O diodo 1N4002 tem uma corrente máxima de trabalho de 1A, e o circuito montado está operando com uma corrente em média de 2,8mA. Esta região de trabalho pode indicar uma VD0 baixa. Por sua vez, a frequência de operação dos diodos pode estar interferindo no valor de ripple.
As razões para a disparidade não puderam ser investigadas por falta de dados ou equipamento apropriado.
Por outro lado, os valores encontrados nas medições do multiteste são ainda mais estranhos, e seu significado e razão também não puderam ser apurados.
A visualização da forma de onda do retificador de onda completa com filtro no osciloscópio foi de extrema valia para a compreensão do mecanismo de retificação e entendimento da ação do capacitor nesse circuito.
Apesar das medidas experimentais estarem um tanto distantes daquelas apuradas pela teoria, ainda assim o experimento provou-se válido. Um maior tempo de pesquisa no laboratório poderia ser útil de modo a compreender o porquê dessas disparidades.
SEDRA, Adel S.; SMITH, Kenneth C. Microeletrônica. 4. edição. São Paulo, Makron Books Ltda., 2000. p. 172 a 184.
FAIRCHILD Semiconductor. 1N4002 Product Folder [online]. Disponível na Internet via URL: http://www.fairchildsemi.com/pf/1N/1N4002.html/. Arquivo capturado em 08/05/2001.