Engenharia Elétrica – Matutino – 2. ano - Unifacs
Marcos Portnoi
Técnicas de Análise de Circuitos
Teoremas de Rede
Introdução
Este estudo visa apresentar duas técnicas de análise de circuito, que permitem simplificar vários tipos de rede e deste modo obter um número menor de equações e variáveis a serem calculados para resolução do circuito.
O uso desses teoremas, em alguns casos, não necessariamente simplifica a solução, podendo resultar em acréscimo de equações, em comparação com outros métodos de análise. A melhor técnica de análise e resolução depende pois do tipo de circuito; a ferramenta apropriada torna o trabalho mais fácil, e o conhecimento de várias técnicas de análise constitui-se em grande vantagem para o engenheiro que as domina.
Os dois teoremas abordados neste estudo serão a Linearidade e Superposição.
Linearidade
Na álgebra, uma função é dita linear se comporta as propriedades de aditividade e homogeneidade. Seja pois a função representada abaixo:
onde a é uma constante real.
Fazendo-se x igual a a , tem-se:
Fazendo-se
,
tem-se:
Verifica-se que
,
qualquer que seja a e b .
Esta é a demonstração da propriedade aditiva de funções lineares.
Agora, multiplicando-se o parâmetro x por uma constante arbitrária K, vem:
Isso significa que, multiplicando o parâmetro x da função por qualquer constante, o resultando será o mesmo que multiplicar a imagem da função, no ponto x, pela constante. Demonstra-se a homogeneidade das funções lineares.
A função da Lei de Ohm, representada por
onde R é uma resistência constante, é uma função linear. É lícito então afirmar que circuitos resistivos, com fontes de tensão ou corrente independentes ou mesmo com fontes de corrente e tensão dependentes (mas regidas por equações lineares), nada mais é do que um sistema de funções lineares, onde as propriedades matemáticas das funções lineares podem ser aplicadas. Inclusive capacitores e indutores, possuindo energia inicial armazenada igual a zero, são também regidos por relações lineares, resultando em um circuito de funções lineares.
A técnica da linearidade para análise de circuitos consiste arbitrar um valor para a grandeza desejada, e então calcular a tensão ou corrente na fonte que produziria aquele valor de grandeza. Então, usando da homogeneidade, basta multiplicar o valor arbitrado pela razão entre os valores encontrados para tensão ou corrente e os valores reais de tensão ou corrente.
Seja portanto o circuito abaixo:

Figura 1
Deseja-se calcular a corrente
Io no circuito, para I =12A. Pode-se arbitrar, primeiramente, que Io=1A, e a partir desse valor, calculamos a fonte de corrente I.Assim,
onde Vo é a tensão no resistor de 3W
. A tensão no resistor de 6W é a mesma, donde vem:Aplicando-se a LKC, obtêm-se a corrente
I2:A tensão no resistor de 2W é, portanto:
A tensão no resistor de 2W é igual à tensão combinada dos resistores de 4 e 8W menos a tensão V1. Assim,
Pode-se agora calcular a corrente
I3 e, usando a LKC, calcular a corrente I:Isso significa que para uma corrente
I0 de 1A, a fonte de corrente forneceria 2A. Usando da característica linear do circuito, uma simples regra de três permite calcular I0 quando I =12A.
Superposição
O princípio por trás da técnica da superposição é a propriedade aditiva das funções lineares. Com efeito, num dado circuito com duas ou mais fontes de corrente ou tensão independentes, um dado valor de uma grandeza é resultado das contribuições independentes de cada fonte de tensão ou corrente sozinhas, sem que as outras estejam presentes no circuito. Ou seja, pode-se tomar uma única fonte de tensão ou corrente e eliminar as demais (substituindo fontes de tensão por um curto-circuito e fontes de corrente por um circuito aberto), calculando a grandeza desejada. Repete-se o processo com cada fonte independente de tensão ou corrente e, ao final, soma-se os valores encontrados.
Seja, portanto, o circuito abaixo:

Figura 2
Deseja-se calcular V0 no circuito. Usando a técnica da superposição, substitui-se a fonte de corrente de 6A por um curto aberto (ver Figura 3) e calcula-se entãoV0, usando o divisor de tensão:

Figura 3: Fonte de corrente eliminada.
![]()
Agora elimina-se a fonte de tensão, substituindo-a por um curto-circuito, e calcula-se
V0 para a atuação da fonte de corrente (ver Figura 4), usando-se o divisor de corrente para calcular a corrente no ramo de V0 e então a tensão V’’, sobre o resistor de 2W :
Figura 4: Fonte de tensão eliminada.

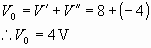
Para achar V0, soma-se as duas contribuições já calculadas. Vem:
A superposição pode ser aplicada a um circuito com qualquer número de fontes dependentes e independentes. As fontes dependentes não são eliminadas, mas deixadas no circuito para que seu efeito seja calculado em relação a cada fonte independente. Pode-se inclusive superpor grupos de fontes, calculando para duas fontes ao mesmo tempo e somando a contribuição de uma terceira.
Conclusão e Comentários
Os teoremas ou técnicas de análise baseados na linearidade e superposição são advindos das características lineares das funções que regem um circuito no formato como foi estudado, composto de fontes dependentes ou independentes de tensão e corrente (sendo as dependentes regidas por equações lineares) e resistores, indutores e capacitores sem energia inicial armazenada. Essas propriedades da função linear permitem reduzir um circuito a um modelo mais simples, que pode ser analisado com número reduzido de equações e variáveis.
A linearidade e a superposição são, assim, mais duas ferramentas poderosas para o arsenal de conhecimentos à disposição do engenheiro.
Referência
Irwin, J. David. (2000). Análise de Circuitos em Engenharia; vol. Único, 4. Edição; Makron Books do Brasil Editora Ltda., São Paulo; p. 175 a 184.