CALL CENTER
RELATÓRIO DE MODELAGEM E SIMULAÇÃO
Rafael Gonçalves
Marcos Portnoi
Albert Reis
Sumário
Objetivos
Introdução
Parte Experimental – Simulação
Material Utilizado
Procedimento
Discussão
Questões
Sugestão de Modificação
Comentários Finais
Referências Bibliográficas
Anexo
Hipótese 2
Hipótese 3
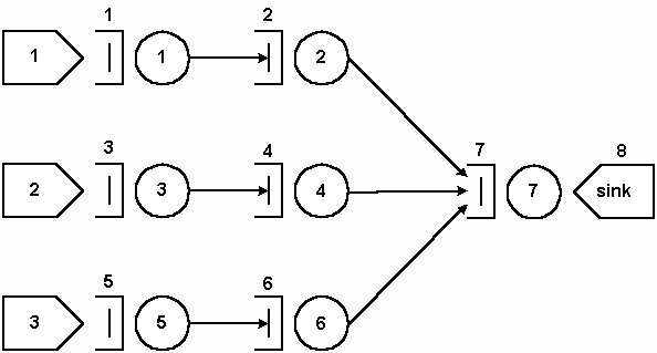
Hipótese 4 (2 Atendentes)
Hipótese 5 (Nenhum Atendimento Direto)
Hipótese 6 (Sobrecarga)
Este relatório pretende descrever experimentos realizados com um sistema de Call Center, modelado segundo a Teoria de Filas. Várias hipóteses foram formuladas além da modelagem principal, e todas foram alimentadas num simulador de redes de filas abertas, de autoria e fornecido pelo Prof. Sergio de Figueiredo Brito (ver Referências Bibliográficas).
A primeira hipótese, principal, é discutida em detalhes. Uma hipótese adicional é discutida logo após, como alternativa ou sugestão de melhora no sistema. As demais são apresentadas resumidamente juntamente com seus arquivos de entrada no Anexo ao final do relatório. As questões indicadas no roteiro da simulação serão respondidas na discussão da Parte Experimental.
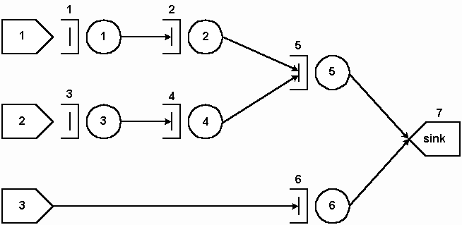
O sistema proposto de Call Center consiste em três linhas de atendimento. As ligações chegam em média em cada linha a uma taxa de 1,5 ligações por minuto. As duas primeiras linhas são primeiramente atendidas por um sistema eletrônico de voz e então encaminhadas para uma espera forçada. Então, são encaminhadas para um único atendente humano, que por sua vez atende diretamente as chamadas vindas da terceira linha. O primeiro atendimento eletrônico tem uma duração média de 25 segundos e a espera forçada insere um atraso de 19 segundos por ligação. O atendente humano atende uma chamada em média a cada 10 segundos. Trabalhar-se-á em segundos e os processos de serviço e chegada são baseados em distribuição exponencial de Poisson.
Parte Experimental – Simulação
·
Computador PC baseado em chip Intel Pentium III 1 GHz, 512MB de memória RAM.·
Simulador de Redes Abertas de Uma Classe (ver Referência Bibliográfica).
Uma vez feita a modelagem das hipóteses segundo a Teoria de Filas, preparou-se um diagrama para cada hipótese e produziu-se um arquivo de entrada contendo os dados necessários para a simulação, de acordo com os requerimentos do simulador. Estipulou-se para cada simulação a geração de 1.000.000 de clientes ou ligações.
Uma vez executado o simulador, este gera um arquivo de resultados denominado Simula_imp.txt, onde as soluções para a modelagem podem ser claramente vislumbrados. Cada hipótese gerou então um arquivo de entrada e um arquivo de resultados, contidos pois nesse relatório. Maiores detalhes sobre a formatação dos arquivos de entrada podem ser obtidas no manual do simulador.
A Figura 1 ilustra a modelagem para o sistema proposto.

Figura 1: Hipótese 1
Segundo JAIN (1991), os parâmetros deste sistema de filas são:
|
Fonte 1 |
Taxa de chegada = l = 1,5 chamadas/minuto = 0,025 chamadas/segundo Taxa de Interchegada = t = 1/l = 40 segundos |
|
Fonte 2 |
t = 40 segundos |
|
Fonte 3 |
t = 40 segundos |
|
Servidor e Fila 1 |
Atendimento Eletrônico Tempo de Serviço = S = 25 segundos |
|
Servidor e Fila 2 |
Espera Forçada S = 19 segundos |
|
Servidor e Fila 3 |
Atendimento Eletrônico S = 25 segundos |
|
Servidor e Fila 4 |
Espera Forçada S = 19 segundos |
|
Servidor e Fila 5 |
Atendente humano S = 10 segundos |
|
Fila 6 |
Sorvedouro |
Assim, as ligações recebidas das linhas 1 e 2 passam pelo serviço de atendimento eletrônico e espera forçada, antes de passarem ao atendente humano. A linha 3 é diretamente processada pelo atendente humano.
A espera forçada não é a única "espera" no sistema, já que cada serviço tem sua fila, que age como uma "espera" para cada ligação antes que sejam processadas. Assim, as ligações da linha 3, que não passam pela espera forçada (Servidores 2 e 4), ainda assim podem ficar em "espera" na fila do atendente humano. Considera-se aqui que esta "espera" é controlada apropriadamente pelos próprios servidores, ou seja, não é feita por um sistema específico de espera, como os Servidores 2 e 4, mas implementada dentro dos processamentos de cada servidor.
O arquivo de entrada de parâmetros é assim formatado:
|
/Simulação CALL CENTER / / /Sistema Call Center: 3 fontes, 5 servidores, 5 filas, 1 sorvedouro / V 0 D 100000000 N 1000000 / /Circuito / /Fontes: E 1 fonte1 40 0.0 s 1 E 1 fonte2 40 0.0 s 3 E 1 fonte3 40 0.0 s 5 / /Filas: / F fila1 s 1 F fila2 s 2 F fila3 s 3 F fila4 s 4 F fila5 s 5 / /Sorvedouro F sink6 s 0 / /Servidores S 1 serv1 25 0.0 e 1 s 2 S 1 serv2 19 0.0 e 2 s 5 S 1 serv3 25 0.0 e 3 s 4 S 1 serv4 19 0.0 e 4 s 5 S 1 serv5 10 0.0 e 5 s 6 / /Fim |
O arquivo de resultados segue:
|
SIMULADOR DE REDES DE FILAS ABERTAS
TIPO DO TERMINO : numero de clientes estipulado
********** TEMPO SIMULADO : 13334545.00 ********** NUM. DE CLIENTES GERADOS : 1000000
******************** FONTES ********************
LEGENDA : ---------
NUM.CLIENTE.GER ==> numero de clientes gerados pela FONTE
TEMPO DE GERACAO ==> proveniente do arquivo de entrada de dados [1] - exponencial ==> [1] MED :__ [2] - uniforme ==> [2] INF :__ SUP :__
FONTE - NUM.CLIENTE.GER. - TAXA DE GERACAO (tau)=(1/lambda) [clientes] [uts/cliente] ---------------------------------------------------------------- 1 333337 [1] MED : 40.0000 ---------------------------------------------------------------- 2 333194 [1] MED : 40.0000 ---------------------------------------------------------------- 3 333469 [1] MED : 40.0000
******************** SERVIDORES ********************
LEGENDA : ---------
UTILIZ ==> parte do tempo que o servidor processou (rho) clientes frente ao tempo total simulado
CLI.FIM. ==> se o servidor tem cliente em servico no final da simulacao : 0 -> NAO ; 1 -> SIM.
NUM.CLI. ==> numero total de clientes servidos
TX DE SERVICO ==> numero medio de clientes por uts servidos (mu) calculado pelo simulador
TEMPO DE SERVICO ==> proveniente do arquivo de entrada de dados (S) [1] - exponencial ==> [1] MED :__ [2] - uniforme ==> [2] INF :__ SUP :__
SERV. - UTILIZ. - CLI.FIM. - NUM.CLI. - TX DE SERVICO - TEMPO DE SERVICO (rho) [0-1] [clientes] [cli/uts] (mu) [uts/cli] (S) ------------------------------------------------------------------------ 1 0.6239 1 333330 0.0401 [1] MED : 25.0000 ------------------------------------------------------------------------ 2 0.4752 0 333330 0.0526 [1] MED : 19.0000 ------------------------------------------------------------------------ 3 0.6248 0 333194 0.0400 [1] MED : 25.0000 ------------------------------------------------------------------------ 4 0.4754 0 333194 0.0526 [1] MED : 19.0000 ------------------------------------------------------------------------ 5 0.7499 1 999992 0.1000 [1] MED : 10.0000
******************** FILAS ********************
LEGENDA : ---------
TX.CHG. ==> taxa de chegada media de fregueses na fila (lambda)
TAM.MED.FIL. ==> numero medio de clientes na fila
TEM.MED.FIL. ==> tempo medio de espera de um cliente na fila (W)
MAX.CLI. ==> numero maximo de clientes ocorrido na fila
CLI.TER. ==> numero de clientes na fila no termino da simulacao
FILA - TX.CHG. - TAM.MED.FIL - TEM.MED.FIL - MAX.CLI. - CLI.TER. [cli/uts] [clientes] [uts] (W) [clientes] [clientes] ---------------------------------------------------------------------------- 1 0.0250 1.0299 41.1984 23 6 ---------------------------------------------------------------------------- 2 0.0250 0.4326 17.3040 16 0 ---------------------------------------------------------------------------- 3 0.0250 1.0520 42.1010 23 0 ---------------------------------------------------------------------------- 4 0.0250 0.4272 17.0967 15 0 ---------------------------------------------------------------------------- 5 0.0750 2.2331 29.7769 36 0 ---------------------------------------------------------------------------- SORVEDOURO 999992 ******************** FINAL DOS RESULTADOS ********************* |
Para que o sistema esteja equilibrado, a condição
|
m > l |
tem de ser garantida. Analisando o arquivo de resultados, pode-se comparar o m de cada servidor com o l de cada fila. Tem-se assim:
|
0,0401 > 0,0250 |
Servidor/Fila 1 |
|
0,0526 > 0,0250 |
Servidor/Fila 2 |
|
0,0400 > 0,0250 |
Servidor/Fila 3 |
|
0,0526 > 0,0250 |
Servidor/Fila 4 |
|
0,1000 > 0,0750 |
Servidor/Fila 5 |
Demonstrando, desta maneira, que o sistema está em equilíbrio.
Analisemos agora alguns detalhes interessantes desta simulação, antes de responder as questões colocadas.
A utilização de todos os servidores está abaixo de 75%, o que indica um dimensionamento apropriado. O atendente humano, entretanto, já mostra a utilização no limite de 75%. Isso indica que se a taxa de serviço deste atendente diminuir, ele rapidamente entrará em sobrecarga. Pode-se observar este fenômeno na simulação da Hipótese 6, no Anexo, onde a utilização do atendente humano sobe para 82,7%, com apenas um segundo a mais em sua taxa de serviço. O efeito no tamanho máximo da fila para este atendente também é notável com este segundo de acréscimo.
As linhas de atendimento 1 e 2 mostram ser bastante semelhantes em seus resultados, como era esperado, já que seus tempos de interchegada e tempos de serviço dos servidores são idênticos. Assim, elas exibem tamanhos máximos de fila e tempos de permanência em fila semelhantes.
A fila do Servidor 5, o atendente humano, é a que exibe o maior tamanho médio de fila e também o maior valor máximo, pois, intuitivamente, todas as ligações desembocam nele.
Os tamanhos médios de fila não ultrapassam 3 ligações, o que parece ser razoável, mas os tempos de espera médio em fila são um tanto elevados, considerando uma ligação telefônica. As ligações que caem nas linhas 1 e 2 são submetidas a um período total de espera até o atendimento bastante longo, se comparadas às ligações que caem na linha 3.
a. Qual será o tempo médio de espera para atendimento eletrônico na linha 2?
O tempo de espera de atendimento eletrônico na linha 2 corresponde à Fila 3 na modelagem. Esta fila tem um tempo médio, ou seja, uma espera média, de 42,10 segundos.
b. Qual será em média o número de chamadas na espera pelo atendimento de voz?
O atendimento de voz em espera compreende as filas 1 e 3 na modelagem. O total de ligações médias nestas duas filas é de aproximadamente 2,08 ligações.
c. Se você deu azar de cair no atendimento da linha 1, quanto será o tempo médio de atendimento total?
O tempo médio total de atendimento na linha 1 compreenderá o tempo médio das filas 1, 2 e 5 somadas aos tempos de serviço dos servidores 1, 2 e 5. Assim sendo, o tempo médio de atendimento total será:
41,1984 (Fila 1) + 17,3040 (Fila 2) + 29,7769 (Fila 5) + 25 (Servidor 1) + 19 (Servidor 2) + 10 (Servidor 5) = 142,2793 segundos ou 2 minutos, 22 segundos.
d. Qual é o tempo médio de atendimento de quem caiu na linha 3?
Novamente, o tempo médio total de atendimento da linha 3 é o tempo médio de espera na fila 5 mais o tempo de serviço do Servidor 5. Assim,
29,7769 + 10 = 39,7769 segundos.
e. Em se considerando que cada chamada ocupa 3 bytes na memória do sistema de recepção. Qual o tamanho mínimo de memória para a área de espera forçada?
Considerando a memória necessária apenas para a fila da espera forçada, precisa-se somar os números de tamanho máximo de filas nas Filas 2 e 4, que representam a espera forçada. Desta forma,
16 (Fila 2) + 15 (Fila 4) = 31 ligações à 31 x 3 bytes = 93 bytes de memória mínima.
Assumindo-se que a chamada em processamento na área de espera forçada, ou seja, a chamada em serviço, também ocupa 3 bytes, adiciona-se 2 chamadas ao total anterior, ou 6 bytes, resultando numa memória mínima de 99 bytes.
Sugere-se aqui a mesma modelagem conforme a Figura 1, porém com os seguintes valores de tempo de serviço:
|
Fonte 1 |
t = 40 segundos |
|
Fonte 2 |
t = 40 segundos |
|
Fonte 3 |
t = 40 segundos |
|
Servidor e Fila 1 |
Atendimento Eletrônico S = 21 segundos |
|
Servidor e Fila 2 |
Espera Forçada S = 15 segundos |
|
Servidor e Fila 3 |
Atendimento Eletrônico S = 21 segundos |
|
Servidor e Fila 4 |
Espera Forçada S = 15 segundos |
|
Servidor e Fila 5 |
Atendente humano S = 10 segundos |
|
Fila 6 |
Sorvedouro |
Os itens modificados estão ressaltados em negrito. Cada tempo de serviço do atendimento eletrônico e da espera forçada foram reduzidos em 4 segundos. Os arquivos de entrada e resultados seguem.
|
/Simulação CALL CENTER / / /Sistema Call Center: 3 fontes, 5 servidores, 5 filas, 1 sorvedouro / V 0 D 100000000 N 1000000 / /Circuito / /Fontes: E 1 fonte1 40 0.0 s 1 E 1 fonte2 40 0.0 s 3 E 1 fonte3 40 0.0 s 5 / /Filas: /
F fila1 s 1 F fila2 s 2 F fila3 s 3 F fila4 s 4 F fila5 s 5 / /Sorvedouro F sink6 s 0 / /Servidores S 1 serv1 21 0.0 e 1 s 2 S 1 serv2 15 0.0 e 2 s 5 S 1 serv3 21 0.0 e 3 s 4 S 1 serv4 15 0.0 e 4 s 5 S 1 serv5 10 0.0 e 5 s 6 / /Fim |
|
SIMULADOR DE REDES DE FILAS ABERTAS
TIPO DO TERMINO : numero de clientes estipulado
********** TEMPO SIMULADO : 13308873.00 ********** NUM. DE CLIENTES GERADOS : 1000000
******************** FONTES ********************
LEGENDA : ---------
NUM.CLIENTE.GER ==> numero de clientes gerados pela FONTE
TEMPO DE GERACAO ==> proveniente do arquivo de entrada de dados [1] - exponencial ==> [1] MED :__ [2] - uniforme ==> [2] INF :__ SUP :__
FONTE - NUM.CLIENTE.GER. - TAXA DE GERACAO (tau)=(1/lambda) [clientes] [uts/cliente] ---------------------------------------------------------------- 1 333091 [1] MED : 40.0000 ---------------------------------------------------------------- 2 333578 [1] MED : 40.0000 ---------------------------------------------------------------- 3 333331 [1] MED : 40.0000
******************** SERVIDORES ********************
LEGENDA : ---------
UTILIZ ==> parte do tempo que o servidor processou (rho) clientes frente ao tempo total simulado
CLI.FIM. ==> se o servidor tem cliente em servico no final da simulacao : 0 -> NAO ; 1 -> SIM.
NUM.CLI. ==> numero total de clientes servidos
TX DE SERVICO ==> numero medio de clientes por uts servidos (mu) calculado pelo simulador
TEMPO DE SERVICO ==> proveniente do arquivo de entrada de dados (S) [1] - exponencial ==> [1] MED :__ [2] - uniforme ==> [2] INF :__ SUP :__
SERV. - UTILIZ. - CLI.FIM. - NUM.CLI. - TX DE SERVICO - TEMPO DE SERVICO (rho) [0-1] [clientes] [cli/uts] (mu) [uts/cli] (S) ------------------------------------------------------------------------ 1 0.5249 1 333088 0.0477 [1] MED : 21.0000 ------------------------------------------------------------------------ 2 0.3740 0 333088 0.0669 [1] MED : 15.0000 ------------------------------------------------------------------------ 3 0.5266 1 333575 0.0476 [1] MED : 21.0000 ------------------------------------------------------------------------ 4 0.3761 0 333575 0.0666 [1] MED : 15.0000 ------------------------------------------------------------------------ 5 0.7506 1 999989 0.1001 [1] MED : 10.0000
******************** FILAS ********************
LEGENDA : ---------
TX.CHG. ==> taxa de chegada media de fregueses na fila (lambda)
TAM.MED.FIL. ==> numero medio de clientes na fila
TEM.MED.FIL. ==> tempo medio de espera de um cliente na fila (W)
MAX.CLI. ==> numero maximo de clientes ocorrido na fila
CLI.TER. ==> numero de clientes na fila no termino da simulacao
FILA - TX.CHG. - TAM.MED.FIL - TEM.MED.FIL - MAX.CLI. - CLI.TER. [cli/uts] [clientes] [uts] (W) [clientes] [clientes] ---------------------------------------------------------------------------- 1 0.0250 0.5792 23.1418 15 2 ---------------------------------------------------------------------------- 2 0.0250 0.2219 8.8679 11 0 ---------------------------------------------------------------------------- 3 0.0251 0.5874 23.4373 18 2 ---------------------------------------------------------------------------- 4 0.0251 0.2283 9.1100 12 0 ---------------------------------------------------------------------------- 5 0.0751 2.2402 29.8151 32 4 ---------------------------------------------------------------------------- SORVEDOURO 999989
******************** FINAL DOS RESULTADOS ********************* |
Todos os valores de l continuam menores que os respectivos valores de m , evidenciando o equilíbrio do sistema. As taxas de utilização estão dentro da faixa de segurança, sendo que a taxa de utilização do atendente humano não sofreu alteração.
Os tempos médio de espera em fila das linhas 1 e 2, entretanto, mostraram alteração brutal, bem como o tamanho máximo das filas por que passam as ligações provenientes das linhas 1 e 2. O tempo médio de atendimento da linha 1, por exemplo, caiu de 2’:22" minutos no sistema original para 1,80 minutos ou 1’:48" minutos. O tamanho máximo das filas das linhas 1 e 2 caíram aproximadamente 30%, sem refletir em grandes alterações nos números da linha 3 e da Fila/Servidor 5. Isso significa que menos memória precisa ser disponibilizada para o sistema de espera forçada.
A modelagem de exemplos de sistemas reais e sua simulação provaram ser bastante interessantes e instrutivos, permitindo vislumbrar quase que de imediato e sem custos físicos os efeitos que modificações nos parâmetros causam. O experimento demonstra, assim, a força e importância dos sistemas estocásticos aplicados, em particular a Teoria de Filas, para modelagem e resolução de sistemas de praticamente qualquer natureza.
Isto permitiu a sugestão de modificações no sistema de Call Center apresentado, com uma aparente simples modificação no tempo de serviço dos sistemas de atendimento eletrônico e espera forçada que, se factível, melhora substancialmente a performance do sistema do ponto de vista do cliente que liga para o Call Center e é submetido a esperas, e também nos tamanhos de memória mínimo envolvidos para armazenamento de chamadas em espera.
BRITO, Sergio de Figueiredo. Simulador de Redes Abertas de Uma Classe. Programa para computador desenvolvido em linguagem de programação C. 1990.
Aqui apresentar-se-á hipóteses de modelagem diferentes para o sistema proposto de Call Center, juntamente com seus arquivos de entrada e resultados.

|
Fonte 1 |
t = 40 segundos |
|
Fonte 2 |
t = 40 segundos |
|
Fonte 3 |
t = 40 segundos |
|
Servidor e Fila 1 |
Atendimento Eletrônico S = 25 segundos |
|
Servidor e Fila 2 |
Espera Forçada S = 19 segundos |
|
Servidor e Fila 3 |
Atendimento Eletrônico S = 25 segundos |
|
Servidor e Fila 4 |
Espera Forçada S = 19 segundos |
|
Servidor e Fila 5 |
Atendimento Eletrônico S = 25 segundos |
|
Servidor e Fila 6 |
Atendente humano S = 10 segundos |
|
Fila 7 |
Sorvedouro |
|
/Simulação CALL CENTER / / /Sistema Call Center: 3 fontes, 6 servidores, 6 filas, 1 sorvedouro / V 0 D 100000000 N 1000000 / /Circuito / /Fontes: E 1 fonte1 40 0.0 s 1 E 1 fonte2 40 0.0 s 3 E 1 fonte3 40 0.0 s 5 / /Filas: /
F fila1 s 1 F fila2 s 2 F fila3 s 3 F fila4 s 4 F fila5 s 5 F fila6 s 6
/ /Sorvedouro F sink7 s 0
/ /Servidores S 1 serv1 25 0.0 e 1 s 2 S 1 serv2 19 0.0 e 2 s 6 S 1 serv3 25 0.0 e 3 s 4 S 1 serv4 19 0.0 e 4 s 6 S 1 serv5 25 0.0 e 5 s 6 S 1 serv6 10 0.0 e 6 s 7 / /Fim |
|
SIMULADOR DE REDES DE FILAS ABERTAS
TIPO DO TERMINO : numero de clientes estipulado
********** TEMPO SIMULADO : 13324331.00 ********** NUM. DE CLIENTES GERADOS : 1000000
******************** FONTES ********************
LEGENDA : ---------
NUM.CLIENTE.GER ==> numero de clientes gerados pela FONTE
TEMPO DE GERACAO ==> proveniente do arquivo de entrada de dados [1] - exponencial ==> [1] MED :__ [2] - uniforme ==> [2] INF :__ SUP :__
FONTE - NUM.CLIENTE.GER. - TAXA DE GERACAO (tau)=(1/lambda) [clientes] [uts/cliente] ---------------------------------------------------------------- 1 333901 [1] MED : 40.0000 ---------------------------------------------------------------- 2 332526 [1] MED : 40.0000 ---------------------------------------------------------------- 3 333573 [1] MED : 40.0000
******************** SERVIDORES ********************
LEGENDA : ---------
UTILIZ ==> parte do tempo que o servidor processou (rho) clientes frente ao tempo total simulado
CLI.FIM. ==> se o servidor tem cliente em servico no final da simulacao : 0 -> NAO ; 1 -> SIM.
NUM.CLI. ==> numero total de clientes servidos
TX DE SERVICO ==> numero medio de clientes por uts servidos (mu) calculado pelo simulador
TEMPO DE SERVICO ==> proveniente do arquivo de entrada de dados (S) [1] - exponencial ==> [1] MED :__ [2] - uniforme ==> [2] INF :__ SUP :__
SERV. - UTILIZ. - CLI.FIM. - NUM.CLI. - TX DE SERVICO - TEMPO DE SERVICO (rho) [0-1] [clientes] [cli/uts] (mu) [uts/cli] (S) ------------------------------------------------------------------------ 1 0.6251 1 333900 0.0401 [1] MED : 25.0000 ------------------------------------------------------------------------ 2 0.4749 0 333900 0.0528 [1] MED : 19.0000 ------------------------------------------------------------------------ 3 0.6259 1 332524 0.0399 [1] MED : 25.0000 ------------------------------------------------------------------------ 4 0.4747 0 332524 0.0526 [1] MED : 19.0000 ------------------------------------------------------------------------ 5 0.6250 0 333573 0.0401 [1] MED : 25.0000 ------------------------------------------------------------------------ 6 0.7497 0 999997 0.1001 [1] MED : 10.0000
******************** FILAS ********************
LEGENDA : ---------
TX.CHG. ==> taxa de chegada media de fregueses na fila (lambda)
TAM.MED.FIL. ==> numero medio de clientes na fila
TEM.MED.FIL. ==> tempo medio de espera de um cliente na fila (W)
MAX.CLI. ==> numero maximo de clientes ocorrido na fila
CLI.TER. ==> numero de clientes na fila no termino da simulacao
FILA - TX.CHG. - TAM.MED.FIL - TEM.MED.FIL - MAX.CLI. - CLI.TER. [cli/uts] [clientes] [uts] (W) [clientes] [clientes] ---------------------------------------------------------------------------- 1 0.0251 1.0491 41.8638 21 0 ---------------------------------------------------------------------------- 2 0.0251 0.4267 17.0271 15 0 ---------------------------------------------------------------------------- 3 0.0250 1.0445 41.8526 25 1 ---------------------------------------------------------------------------- 4 0.0250 0.4301 17.2329 14 0 ---------------------------------------------------------------------------- 5 0.0250 1.0566 42.2064 27 0 ---------------------------------------------------------------------------- 6 0.0751 2.2404 29.8523 36 0 ---------------------------------------------------------------------------- SORVEDOURO 999997
******************** FINAL DOS RESULTADOS ********************* |

|
Fonte 1 |
t = 40 segundos |
|
Fonte 2 |
t = 40 segundos |
|
Fonte 3 |
t = 40 segundos |
|
Servidor e Fila 1 |
Atendimento Eletrônico S = 25 segundos |
|
Servidor e Fila 2 |
Espera Forçada S = 19 segundos |
|
Servidor e Fila 3 |
Atendimento Eletrônico S = 25 segundos |
|
Servidor e Fila 4 |
Espera Forçada S = 19 segundos |
|
Servidor e Fila 5 |
Espera Forçada S = 19 segundos |
|
Servidor e Fila 6 |
Atendente humano S = 10 segundos |
|
Fila 7 |
Sorvedouro |
|
/Simulação CALL CENTER / / /Sistema Call Center: 3 fontes, 6 servidores, 6 filas, 1 sorvedouro / V 0 D 100000000 N 1000000 / /Circuito / /Fontes: E 1 fonte1 40 0.0 s 1 E 1 fonte2 40 0.0 s 3 E 1 fonte3 40 0.0 s 5 / /Filas: /
F fila1 s 1 F fila2 s 2 F fila3 s 3 F fila4 s 4 F fila5 s 5 F fila6 s 6
/ /Sorvedouro F sink7 s 0
/ /Servidores S 1 serv1 25 0.0 e 1 s 2 S 1 serv2 19 0.0 e 2 s 6 S 1 serv3 25 0.0 e 3 s 4 S 1 serv4 19 0.0 e 4 s 6 S 1 serv5 19 0.0 e 5 s 6 S 1 serv6 10 0.0 e 6 s 7 / /Fim |
|
SIMULADOR DE REDES DE FILAS ABERTAS
TIPO DO TERMINO : numero de clientes estipulado
********** TEMPO SIMULADO : 13343365.00 ********** NUM. DE CLIENTES GERADOS : 1000000
******************** FONTES ********************
LEGENDA : ---------
NUM.CLIENTE.GER ==> numero de clientes gerados pela FONTE
TEMPO DE GERACAO ==> proveniente do arquivo de entrada de dados [1] - exponencial ==> [1] MED :__ [2] - uniforme ==> [2] INF :__ SUP :__
FONTE - NUM.CLIENTE.GER. - TAXA DE GERACAO (tau)=(1/lambda) [clientes] [uts/cliente] ---------------------------------------------------------------- 1 334317 [1] MED : 40.0000 ---------------------------------------------------------------- 2 333381 [1] MED : 40.0000 ---------------------------------------------------------------- 3 332302 [1] MED : 40.0000
******************** SERVIDORES ********************
LEGENDA : ---------
UTILIZ ==> parte do tempo que o servidor processou (rho) clientes frente ao tempo total simulado
CLI.FIM. ==> se o servidor tem cliente em servico no final da simulacao : 0 -> NAO ; 1 -> SIM.
NUM.CLI. ==> numero total de clientes servidos
TX DE SERVICO ==> numero medio de clientes por uts servidos (mu) calculado pelo simulador
TEMPO DE SERVICO ==> proveniente do arquivo de entrada de dados (S) [1] - exponencial ==> [1] MED :__ [2] - uniforme ==> [2] INF :__ SUP :__
SERV. - UTILIZ. - CLI.FIM. - NUM.CLI. - TX DE SERVICO - TEMPO DE SERVICO (rho) [0-1] [clientes] [cli/uts] (mu) [uts/cli] (S) ------------------------------------------------------------------------ 1 0.6241 1 334316 0.0401 [1] MED : 25.0000 ------------------------------------------------------------------------ 2 0.4773 0 334316 0.0525 [1] MED : 19.0000 ------------------------------------------------------------------------ 3 0.6243 0 333381 0.0400 [1] MED : 25.0000 ------------------------------------------------------------------------ 4 0.4759 0 333381 0.0525 [1] MED : 19.0000 ------------------------------------------------------------------------ 5 0.4722 1 332299 0.0527 [1] MED : 19.0000 ------------------------------------------------------------------------ 6 0.7497 1 999987 0.1000 [1] MED : 10.0000
******************** FILAS ********************
LEGENDA : ---------
TX.CHG. ==> taxa de chegada media de fregueses na fila (lambda)
TAM.MED.FIL. ==> numero medio de clientes na fila
TEM.MED.FIL. ==> tempo medio de espera de um cliente na fila (W)
MAX.CLI. ==> numero maximo de clientes ocorrido na fila
CLI.TER. ==> numero de clientes na fila no termino da simulacao
FILA - TX.CHG. - TAM.MED.FIL - TEM.MED.FIL - MAX.CLI. - CLI.TER. [cli/uts] [clientes] [uts] (W) [clientes] [clientes] ---------------------------------------------------------------------------- 1 0.0251 1.0315 41.1699 29 0 ---------------------------------------------------------------------------- 2 0.0251 0.4338 17.3153 15 0 ---------------------------------------------------------------------------- 3 0.0250 1.0374 41.5216 23 0 ---------------------------------------------------------------------------- 4 0.0250 0.4309 17.2471 14 0 ---------------------------------------------------------------------------- 5 0.0249 0.4278 17.1772 18 2 ---------------------------------------------------------------------------- 6 0.0749 2.2414 29.9083 47 8 ---------------------------------------------------------------------------- SORVEDOURO 999987
******************** FINAL DOS RESULTADOS ********************* |

|
Fonte 1 |
t = 40 segundos |
|
Fonte 2 |
t = 40 segundos |
|
Fonte 3 |
t = 40 segundos |
|
Servidor e Fila 1 |
Atendimento Eletrônico S = 25 segundos |
|
Servidor e Fila 2 |
Espera Forçada S = 19 segundos |
|
Servidor e Fila 3 |
Atendimento Eletrônico S = 25 segundos |
|
Servidor e Fila 4 |
Espera Forçada S = 19 segundos |
|
Servidor e Fila 5 |
Atendente humano S = 10 segundos |
|
Servidor e Fila 6 |
Atendente humano S = 10 segundos |
|
Fila 7 |
Sorvedouro |
|
/Simulação CALL CENTER / / /Sistema Call Center: 3 fontes, 6 servidores, 6 filas, 1 sorvedouro / V 0 D 100000000 N 1000000 / /Circuito / /Fontes: E 1 fonte1 40 0.0 s 1 E 1 fonte2 40 0.0 s 3 E 1 fonte3 40 0.0 s 6 / /Filas: /
F fila1 s 1 F fila2 s 2 F fila3 s 3 F fila4 s 4 F fila5 s 5 F fila6 s 6
/ /Sorvedouro F sink7 s 0
/ /Servidores S 1 serv1 25 0.0 e 1 s 2 S 1 serv2 19 0.0 e 2 s 5 S 1 serv3 25 0.0 e 3 s 4 S 1 serv4 19 0.0 e 4 s 5 S 1 serv5 10 0.0 e 5 s 7 S 1 serv6 10 0.0 e 6 s 7 / /Fim |
|
SIMULADOR DE REDES DE FILAS ABERTAS
TIPO DO TERMINO : numero de clientes estipulado
********** TEMPO SIMULADO : 13338706.00 ********** NUM. DE CLIENTES GERADOS : 1000000
******************** FONTES ********************
LEGENDA : ---------
NUM.CLIENTE.GER ==> numero de clientes gerados pela FONTE
TEMPO DE GERACAO ==> proveniente do arquivo de entrada de dados [1] - exponencial ==> [1] MED :__ [2] - uniforme ==> [2] INF :__ SUP :__
FONTE - NUM.CLIENTE.GER. - TAXA DE GERACAO (tau)=(1/lambda) [clientes] [uts/cliente] ---------------------------------------------------------------- 1 333699 [1] MED : 40.0000 ---------------------------------------------------------------- 2 332988 [1] MED : 40.0000 ---------------------------------------------------------------- 3 333313 [1] MED : 40.0000
******************** SERVIDORES ********************
LEGENDA : ---------
UTILIZ ==> parte do tempo que o servidor processou (rho) clientes frente ao tempo total simulado
CLI.FIM. ==> se o servidor tem cliente em servico no final da simulacao : 0 -> NAO ; 1 -> SIM.
NUM.CLI. ==> numero total de clientes servidos
TX DE SERVICO ==> numero medio de clientes por uts servidos (mu) calculado pelo simulador
TEMPO DE SERVICO ==> proveniente do arquivo de entrada de dados (S) [1] - exponencial ==> [1] MED :__ [2] - uniforme ==> [2] INF :__ SUP :__
SERV. - UTILIZ. - CLI.FIM. - NUM.CLI. - TX DE SERVICO - TEMPO DE SERVICO (rho) [0-1] [clientes] [cli/uts] (mu) [uts/cli] (S) ------------------------------------------------------------------------ 1 0.6251 0 333699 0.0400 [1] MED : 25.0000 ------------------------------------------------------------------------ 2 0.4752 1 333698 0.0526 [1] MED : 19.0000 ------------------------------------------------------------------------ 3 0.6224 1 332987 0.0401 [1] MED : 25.0000 ------------------------------------------------------------------------ 4 0.4753 0 332987 0.0525 [1] MED : 19.0000 ------------------------------------------------------------------------ 5 0.5001 0 666685 0.1000 [1] MED : 10.0000 ------------------------------------------------------------------------ 6 0.2496 0 333313 0.1001 [1] MED : 10.0000
******************** FILAS ********************
LEGENDA : ---------
TX.CHG. ==> taxa de chegada media de fregueses na fila (lambda)
TAM.MED.FIL. ==> numero medio de clientes na fila
TEM.MED.FIL. ==> tempo medio de espera de um cliente na fila (W)
MAX.CLI. ==> numero maximo de clientes ocorrido na fila
CLI.TER. ==> numero de clientes na fila no termino da simulacao
FILA - TX.CHG. - TAM.MED.FIL - TEM.MED.FIL - MAX.CLI. - CLI.TER. [cli/uts] [clientes] [uts] (W) [clientes] [clientes] ---------------------------------------------------------------------------- 1 0.0250 1.0376 41.4764 22 0 ---------------------------------------------------------------------------- 2 0.0250 0.4293 17.1590 17 0 ---------------------------------------------------------------------------- 3 0.0250 1.0354 41.4766 22 0 ---------------------------------------------------------------------------- 4 0.0250 0.4259 17.0618 16 0 ---------------------------------------------------------------------------- 5 0.0500 0.4984 9.9724 17 0 ---------------------------------------------------------------------------- 6 0.0250 0.0834 3.3386 10 0 ---------------------------------------------------------------------------- SORVEDOURO 999998
******************** FINAL DOS RESULTADOS ********************* |
Hipótese 5 (Nenhum Atendimento Direto)
Este é um exemplo de má modificação no sistema, pois não há qualquer melhora de performance, apenas mais demora no atendimento.

|
Fonte 1 |
t = 40 segundos |
|
Fonte 2 |
t = 40 segundos |
|
Fonte 3 |
t = 40 segundos |
|
Servidor e Fila 1 |
Atendimento Eletrônico S = 25 segundos |
|
Servidor e Fila 2 |
Espera Forçada S = 19 segundos |
|
Servidor e Fila 3 |
Atendimento Eletrônico S = 25 segundos |
|
Servidor e Fila 4 |
Espera Forçada S = 19 segundos |
|
Servidor e Fila 5 |
Atendimento Eletrônico S = 25 segundos |
|
Servidor e Fila 6 |
Espera Forçada S = 19 segundos |
|
Servidor e Fila 7 |
Atendente humano S = 10 segundos |
|
Fila 8 |
Sorvedouro |
|
/Simulação CALL CENTER / / /Sistema Call Center: 3 fontes, 7 servidores, 7 filas, 1 sorvedouro / V 0 D 100000000 N 1000000 / /Circuito / /Fontes: E 1 fonte1 40 0.0 s 1 E 1 fonte2 40 0.0 s 3 E 1 fonte3 40 0.0 s 5 / /Filas: /
F fila1 s 1 F fila2 s 2 F fila3 s 3 F fila4 s 4 F fila5 s 5 F fila6 s 6 F fila7 s 7
/ /Sorvedouro F sink8 s 0
/ /Servidores S 1 serv1 25 0.0 e 1 s 2 S 1 serv2 19 0.0 e 2 s 7 S 1 serv3 25 0.0 e 3 s 4 S 1 serv4 19 0.0 e 4 s 7 S 1 serv5 25 0.0 e 5 s 6 S 1 serv6 19 0.0 e 6 s 7 S 1 serv7 10 0.0 e 7 s 8 / /Fim |
|
SIMULADOR DE REDES DE FILAS ABERTAS
TIPO DO TERMINO : numero de clientes estipulado
********** TEMPO SIMULADO : 13339390.00 ********** NUM. DE CLIENTES GERADOS : 1000000
******************** FONTES ********************
LEGENDA : ---------
NUM.CLIENTE.GER ==> numero de clientes gerados pela FONTE
TEMPO DE GERACAO ==> proveniente do arquivo de entrada de dados [1] - exponencial ==> [1] MED :__ [2] - uniforme ==> [2] INF :__ SUP :__
FONTE - NUM.CLIENTE.GER. - TAXA DE GERACAO (tau)=(1/lambda) [clientes] [uts/cliente] ---------------------------------------------------------------- 1 333384 [1] MED : 40.0000 ---------------------------------------------------------------- 2 334151 [1] MED : 40.0000 ---------------------------------------------------------------- 3 332465 [1] MED : 40.0000
******************** SERVIDORES ********************
LEGENDA : ---------
UTILIZ ==> parte do tempo que o servidor processou (rho) clientes frente ao tempo total simulado
CLI.FIM. ==> se o servidor tem cliente em servico no final da simulacao : 0 -> NAO ; 1 -> SIM.
NUM.CLI. ==> numero total de clientes servidos
TX DE SERVICO ==> numero medio de clientes por uts servidos (mu) calculado pelo simulador
TEMPO DE SERVICO ==> proveniente do arquivo de entrada de dados (S) [1] - exponencial ==> [1] MED :__ [2] - uniforme ==> [2] INF :__ SUP :__
SERV. - UTILIZ. - CLI.FIM. - NUM.CLI. - TX DE SERVICO - TEMPO DE SERVICO (rho) [0-1] [clientes] [cli/uts] (mu) [uts/cli] (S) ------------------------------------------------------------------------ 1 0.6245 1 333382 0.0400 [1] MED : 25.0000 ------------------------------------------------------------------------ 2 0.4744 1 333381 0.0527 [1] MED : 19.0000 ------------------------------------------------------------------------ 3 0.6242 1 334149 0.0401 [1] MED : 25.0000 ------------------------------------------------------------------------ 4 0.4757 0 334149 0.0527 [1] MED : 19.0000 ------------------------------------------------------------------------ 5 0.6229 0 332465 0.0400 [1] MED : 25.0000 ------------------------------------------------------------------------ 6 0.4737 0 332465 0.0526 [1] MED : 19.0000 ------------------------------------------------------------------------ 7 0.7491 1 999993 0.1001 [1] MED : 10.0000
******************** FILAS ********************
LEGENDA : ---------
TX.CHG. ==> taxa de chegada media de fregueses na fila (lambda)
TAM.MED.FIL. ==> numero medio de clientes na fila
TEM.MED.FIL. ==> tempo medio de espera de um cliente na fila (W)
MAX.CLI. ==> numero maximo de clientes ocorrido na fila
CLI.TER. ==> numero de clientes na fila no termino da simulacao
FILA - TX.CHG. - TAM.MED.FIL - TEM.MED.FIL - MAX.CLI. - CLI.TER. [cli/uts] [clientes] [uts] (W) [clientes] [clientes] ---------------------------------------------------------------------------- 1 0.0250 1.0348 41.4056 25 1 ---------------------------------------------------------------------------- 2 0.0250 0.4237 16.9515 14 0 ---------------------------------------------------------------------------- 3 0.0250 1.0323 41.2081 28 1 ---------------------------------------------------------------------------- 4 0.0250 0.4293 17.1368 13 0 ---------------------------------------------------------------------------- 5 0.0249 1.0261 41.1691 24 0 ---------------------------------------------------------------------------- 6 0.0249 0.4274 17.1476 14 0 ---------------------------------------------------------------------------- 7 0.0750 2.2200 29.6133 33 1 ---------------------------------------------------------------------------- SORVEDOURO 999993 ******************** FINAL DOS RESULTADOS ********************* |
Aqui ilustra-se a sobrecarga, ilustrada pela taxa de utilização no atendente humano superando 82%, causada pela adição de um segundo em seu tempo de serviço (totalizando 11 segundos).

|
Fonte 1 |
t = 40 segundos |
|
Fonte 2 |
t = 40 segundos |
|
Fonte 3 |
t = 40 segundos |
|
Servidor e Fila 1 |
Atendimento Eletrônico S = 25 segundos |
|
Servidor e Fila 2 |
Espera Forçada S = 19 segundos |
|
Servidor e Fila 3 |
Atendimento Eletrônico S = 25 segundos |
|
Servidor e Fila 4 |
Espera Forçada S = 19 segundos |
|
Servidor e Fila 5 |
Atendente humano S = 11 segundos |
|
Fila 6 |
Sorvedouro |
|
/Simulação CALL CENTER / / /Sistema Call Center: 3 fontes, 5 servidores, 5 filas, 1 sorvedouro / V 0 D 100000000 N 1000000 / /Circuito / /Fontes: E 1 fonte1 40 0.0 s 1 E 1 fonte2 40 0.0 s 3 E 1 fonte3 40 0.0 s 5 / /Filas: / F fila1 s 1 F fila2 s 2 F fila3 s 3 F fila4 s 4 F fila5 s 5 / /Sorvedouro F sink6 s 0 / /Servidores S 1 serv1 25 0.0 e 1 s 2 S 1 serv2 19 0.0 e 2 s 5 S 1 serv3 25 0.0 e 3 s 4 S 1 serv4 19 0.0 e 4 s 5 S 1 serv5 11 0.0 e 5 s 6 / /Fim |
|
SIMULADOR DE REDES DE FILAS ABERTAS
TIPO DO TERMINO : numero de clientes estipulado
********** TEMPO SIMULADO : 13338523.00 ********** NUM. DE CLIENTES GERADOS : 1000000
******************** FONTES ********************
LEGENDA : ---------
NUM.CLIENTE.GER ==> numero de clientes gerados pela FONTE
TEMPO DE GERACAO ==> proveniente do arquivo de entrada de dados [1] - exponencial ==> [1] MED :__ [2] - uniforme ==> [2] INF :__ SUP :__
FONTE - NUM.CLIENTE.GER. - TAXA DE GERACAO (tau)=(1/lambda) [clientes] [uts/cliente] ---------------------------------------------------------------- 1 333786 [1] MED : 40.0000 ---------------------------------------------------------------- 2 333015 [1] MED : 40.0000 ---------------------------------------------------------------- 3 333199 [1] MED : 40.0000
******************** SERVIDORES ********************
LEGENDA : ---------
UTILIZ ==> parte do tempo que o servidor processou (rho) clientes frente ao tempo total simulado
CLI.FIM. ==> se o servidor tem cliente em servico no final da simulacao : 0 -> NAO ; 1 -> SIM.
NUM.CLI. ==> numero total de clientes servidos
TX DE SERVICO ==> numero medio de clientes por uts servidos (mu) calculado pelo simulador
TEMPO DE SERVICO ==> proveniente do arquivo de entrada de dados (S) [1] - exponencial ==> [1] MED :__ [2] - uniforme ==> [2] INF :__ SUP :__
SERV. - UTILIZ. - CLI.FIM. - NUM.CLI. - TX DE SERVICO - TEMPO DE SERVICO (rho) [0-1] [clientes] [cli/uts] (mu) [uts/cli] (S) ------------------------------------------------------------------------ 1 0.6250 0 333786 0.0400 [1] MED : 25.0000 ------------------------------------------------------------------------ 2 0.4742 0 333786 0.0528 [1] MED : 19.0000 ------------------------------------------------------------------------ 3 0.6229 1 333012 0.0401 [1] MED : 25.0000 ------------------------------------------------------------------------ 4 0.4753 1 333011 0.0525 [1] MED : 19.0000 ------------------------------------------------------------------------ 5 0.8256 1 999993 0.0908 [1] MED : 11.0000
******************** FILAS ********************
LEGENDA : ---------
TX.CHG. ==> taxa de chegada media de fregueses na fila (lambda)
TAM.MED.FIL. ==> numero medio de clientes na fila
TEM.MED.FIL. ==> tempo medio de espera de um cliente na fila (W)
MAX.CLI. ==> numero maximo de clientes ocorrido na fila
CLI.TER. ==> numero de clientes na fila no termino da simulacao
FILA - TX.CHG. - TAM.MED.FIL - TEM.MED.FIL - MAX.CLI. - CLI.TER. [cli/uts] [clientes] [uts] (W) [clientes] [clientes] ---------------------------------------------------------------------------- 1 0.0250 1.0543 42.1315 25 0 ---------------------------------------------------------------------------- 2 0.0250 0.4312 17.2306 15 0 ---------------------------------------------------------------------------- 3 0.0250 1.0214 40.9128 20 2 ---------------------------------------------------------------------------- 4 0.0250 0.4291 17.1856 14 0 ---------------------------------------------------------------------------- 5 0.0750 3.9148 52.2183 61 2 ---------------------------------------------------------------------------- SORVEDOURO 999993
******************** FINAL DOS RESULTADOS ********************* |