AMPLIFICADOR DE UM TRANSISTOR
RELATÓRIO DE EXPERIMENTOS
Marcos Portnoi
Sumário
Este relatório pretende descrever experimentos realizados com um circuito amplificador de um único transistor. O circuito foi anteriormente projetado com auxílio do simulador Multisim, e os dados obtidos serão usados para a montagem do circuito e validação.
O circuito proposto é mostrado na Figura 1. Como parâmetros iniciais, determinou-se os valores abaixo.


Figura 1: Amplificador
Na folha de dados do transistor BC-547, obteve-se o valor beta e a corrente IS:
β
= 300IS = 1,8x10-14 A
De início, os valores dos resistores é desconhecido. Pode-se entretanto calcular o valor de Rc de imediato, usando equação de malha.
![]()
O resistor Re também pode ser calculado usando a corrente de emissor.

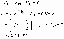
Para calcular R2, usa-se a equação de malha de R2-VBE-Re. A tensão base-emissor é obtida com auxílio da relação exponencial entre Ic e VBE. Senão vejamos:

O resistor R1 também será calculado por intermédio da equação de malha Vcc-R1-R2-GND, sabendo-se ainda que a corrente que atravessa o resistor R1 é, por projeto, 10% de Ic.

O circuito para experimentação e tomada de medidas pode ser visualizado na Figura 2.

Figura 2: Amplificador com sinal injetado.
Os resistores foram escolhidos conforme o valor comercial mais próximo daqueles projetados. Como houvesse falta de um resistor de 4K7 no estoque do laboratório, optou-se por utilizar dois resistores de 2K2 em série.
Primeiramente calibrou-se o visor do osciloscópio com auxílio do gerador de sinais interno daquele equipamento. Então, aplicou-se o canal A na fonte de sinal vi, e o canal B no ponto vo. A fonte de sinal vi foi regulada para fornecer uma tensão senoidal de 0,2V de pico, a 1KHz.
Com o multiteste, tomou-se o valor beta do transistor.
β = 260
Ainda com o multiteste, tomou-se as medidas abaixo, com o circuito polarizado, sem sinal senoidal.
|
Grandeza |
Valor (V) |
|
VRC |
2,88 |
|
VRE |
1,4 |
|
VR1 |
12,88 |
|
VR2 |
2,03 |
|
VBE |
0,65 |
|
VCE |
10,65 |
Com o circuito polarizado e com a fonte de sinal ligada, o osciloscópio mostrou a seguinte disposição de ondas. O pico da onda de maior amplitude foi de 0,4V, e o pico da onda de menor amplitude foi de 0,2V (fonte de sinal).

Figura 3: Formas de onda no osciloscópio.
Com o valor de tensão em cima do resistor Rc, pode-se calcular a corrente de coletor.
![]()
O valor encontrado é bastante próximo do valor de projeto de 5mA, bem como os valores medidos de VBE e VCE mostram-se coerentes com o projeto. Pode-se ainda calcular a corrente que atravessa o resistor R1:
![]()
Que é aproximadamente 10% de Ic, conforme o projeto.
A forma de onda encontrada no osciloscópio mostra de imediato que o circuito está amplificando o sinal de entrada 2x, ou 100%. Um sinal de 0,2V pico foi amplificado para 0,4V pico, o que significa um ganho de 2 vezes. Percebe-se também que o sinal de saída está defasado em 180o em relação ao sinal de entrada. Isto deve-se às características deste circuito amplificador. Quando o sinal de entrada está subindo em sua fase positiva, a corrente de base também cresce. Isso obriga a corrente de coletor a cair, caindo consequentemente a tensão VRC e também a tensão vo. Quando o sinal está descendo em sua fase negativa, o efeito inverso ocorre.
Pode-se calcular o ganho teórico deste amplificador com auxílio do modelo para grandes sinais, conforme a Figura 4.

Figura 4: Modelo para grandes sinais.
No modelo, o transistor é substituído por uma fonte dependente de corrente, entre o coletor e o emissor, e por um diodo diretamente polarizado entre a base e o emissor, no caso de transistor NPN, com fator de escala de corrente IS/b . O diodo causa uma queda de tensão VBE entre a base e o coletor, que é usada como parâmetro para a fonte de corrente controlada por tensão entre o coletor e o emissor. Esta também pode ser substituída por uma fonte de corrente controlada por corrente, de valor b IB. Para a análise, coloca-se as fontes de tensão DC em curto e o sinal de entrada vi e o sinal de saída vo. Os capacitores de acoplamento evitam que sinais DC advindos da entrada ou saída façam parte da análise. Como as fontes de tensão DC estão em curto, o efeito é que os resistores entre os terminais do transistor e os terminais da fonte estarão todos eles ligados ao terra do circuito, conforme ilustra a Figura 4. Verificar que o ganho de corrente, para este modelo, é simplesmente b (o que explica a denominação de b como sendo ganho de corrente em emissor comum).
|
Nota: O cálculo do ganho, abaixo, está imperfeito. |
Há que se assumir um valor para IS, já que este não estava disponível para os experimentos. O valor tomado será 10-14A, bem como VT será 25mV. O valor de vo será portanto a corrente da fonte dependente de corrente multiplicada pelo resistor de coletor.

O ganho, por conseguinte, será:
![]()
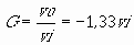
O que representa um erro de aproximadamente 50%. Este valor teórico de ganho, entretanto, é severamente dependente do valor VBE e de IS. O valor medido de VBE com o multiteste foi de 0,65V, mas é interessante observar que, para um valor de VBE de 0,66V, o ganho passa a:

Que representa um erro de cerca de 1%. Ou seja, um valor de VBE com variação de 1,5% resultou em variação de ganho de quase 50%.
Por fim, é interessante analisar a função dos dois capacitores no circuito. O objetivo deles é bloquear o sinal DC vindo do transistor para a fonte de sinal, e também bloquear o sinal DC vindo do transistor para a tensão vo. O efeito desejado para este circuito é amplificar um sinal variante aplicado na entrada vi. A tensão Vcc serve apenas para polarizar o transistor, e esta não deve interferir no sinal. Portanto, deve ser bloqueada pelos capacitores, denominados capacitores de acoplamento.
A característica de bloqueio DC do capacitor deve-se a sua reatância infinita para correntes contínuas e baixa reatância para correntes alternadas. Para o sinal de 1KHz deste experimento, a reatância é de:
![]()
Que é, portanto, bastante baixa para o sinal senoidal e infinita para a corrente contínua.
As medidas realizadas no circuito montado mostraram-se coerentes com o projeto anteriormente calculado. Isso validou não somente os cálculos feitos, como também as regras e convenções para o projeto do amplificador de um transistor.
A visualização das formas de onda do amplificador proporcionou identificação imediata das características e do ganho da amplificação. Com a manipulação do sinal de entrada, pôde-se verificar ao mesmo tempo as alterações no sinal de saída, fortalecendo o entendimento do funcionamento do circuito e da polarização de um transistor.
SEDRA, Adel S.; SMITH, Kenneth C. Microeletrônica. 4. edição. São Paulo, Makron Books Ltda., 2000. p. 207 a 225.
FAIRCHILD Semiconductor. NPN General Purpose Amplifier [online]. Disponível na Internet via URL: http://www.fairchildsemi.com/pf/BC/BC547_BC547A_BC547B_BC547C.html. Arquivo capturado em 26/05/2001.